为什么引力会使时间变慢?
这个问题如果真得仔细答来,那得需要从广义相对论的开头开始讲起,而在此之前还需要了解狭义相对论,毕竟引力这个东西,在相对论理论被解释为时空弯曲,而时空则是相对论最核心的概念。
文章插图
想要通过一篇问答来仔细讲准确广义相对论是不现实的,因此我们可以先从狭义相对论开始入手,毕竟狭义相对论中也是存在钟慢(也就是时间变慢)效应的,而狭义相对论只是广义相对论在时空平直时的特殊形式,因此了解狭义相对论十分有必要。
狭义相对论的两大基本前提:狭义相对性原理和光速不变原理。
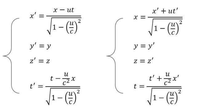
狭义相对性原理告诉我们物理规律在任意惯性系内都具有相同形式,而光速不变原理则说明,真空光速在任意惯性系内都相同。有了这两条,就能推导出一个被称为“洛伦兹变换”的东西,注意一点,洛伦兹变换成立的前提是两个惯性系之间,这也就是为什么很多人认为狭义相对论只能处理惯性系之间问题的原因。
【为什么引力会使时间变慢?】
文章插图
但实际上,随着相对论的进一步发展,科学们认为这样的方式过于狭隘,所以将狭义相对论与广义相对论的界限定为了时空是否弯曲,也就是说:即便是非惯性系问题,只要背景时空是平直的,那么仍旧属于狭义相对论的范畴,而上段所讲的洛伦兹变换也不能代表狭义相对论的全部核心(洛伦兹变换只是一个更加普遍形式的特例)
文章插图
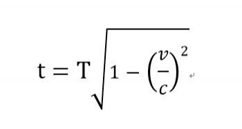
但我们仍以洛伦兹变换为例,在此种情况下,我们可以推导出一个被称为动钟变慢的效应,也就是相对于一位静止观测者来说(所谓静止观测者,也就是指观测者位于惯性系某点不动),移动的物体,比如一个时钟,它的时间过得要比观测者自身要慢。
文章插图
比如一个经常被提到的例子,双胞胎兄弟,哥哥去太空飞行,弟弟在地球等待,试问哥哥回来后,二人年龄相差几何?
文章插图
答案是哥哥比弟弟年轻,因为哥哥哥哥存在加速度(指四维加速度),不是惯性系,所以惯性系平权就谈不上了,因此不会出现弟弟看哥哥,认为哥哥时间慢,哥哥要比自己年轻;而哥哥看弟弟,认为弟弟运动,时间慢,弟弟比自己年轻的矛盾结论了。
开头第二段也说了,狭义相对论是广义相对论的特殊形式,所以广义相对论中也应存在一个钟慢效应,而广义相对论又是一个描述引力的理论,因此自然和时空弯曲分割不开,所以有了一个被称为引力钟慢的效应。
这个效应简单来说,就是时空弯曲得越厉害,该处的时间就流逝得越慢。比如在地球表面,不同高度处,因为引力势不同,导致各处时间流逝的也不一致,典型的例子就是GPS卫星的相对论时间修正。
文章插图
最后补充一点:时空弯曲(引力)必然伴随潮汐效应,而加速度等效出来的引力场,不存在潮汐效应,因此我们不能说加速物体的时间变慢是引力所致,也就是双生子问题不存在使用广义相对论的前提。
推荐阅读
- 初入职场的我们 《初入职场的我们》郑茹心为什么会离开?
- 引力 太阳系边缘真的存在第九大行星,而且它是一颗胡柚般大的黑洞吗
- 米兰时装周 王俊凯为什么能被受邀参加米兰时装周的呢?
- 飞行嘉宾 黄渤为什么中途退出《哈哈哈哈哈》?原因很现实
- 信用卡 为什么银行的人,追着你办信用卡?办卡送礼物,到底有什么秘密?
- 生猪价格 生猪价格正在下跌和上涨。为什么上升这么难?终于找到原因了
- 张哲瀚 被问为什么和龚俊总黏在一起张哲瀚的回答,堪称教科书
- 警告 霍金生前为什么警告人类,要抓紧离开居住的地球他发现什么
- 银行 都2021年了,为什么还有人存“定期存款”?银行员工“道出实情”
- 社保 社保同样缴纳25年,为什么我只有2000块钱,而别人有4000块钱?
