
文章图片

文章图片
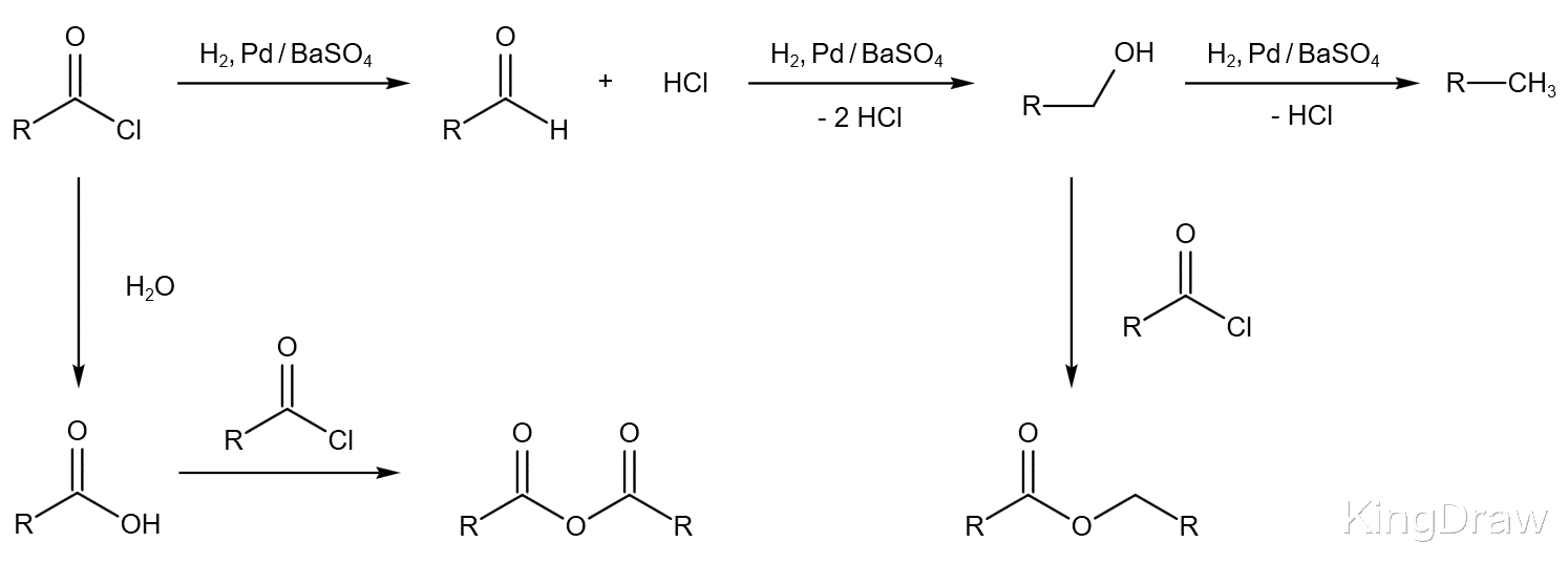
【章鱼|有机人名反应——Rosenmund还原反应】
Rosenmund还原反应
Rosenmund还原反应是催化氢化还原反应 , 指酰氯在部分失活的钯催化剂(Pd/BaSO4)作用下用氢气进行还原 , 得到相应的醛 。 反应由德国化学家 Karl Wilhelm Rosenmund (1884-1965) 首先报道 。
反应机理
该反应是通氢气于悬浮有催化剂的酰氯溶液中来进行 。 是从羧酸合成醛的方法之一 , 一般应用于制备一元脂肪醛和一元芳香醛 。 反应的副产物有醇、烷烃、酸酐和酯 。 用三叔丁氧基氢化铝锂也可以将酰氯还原为醛 。 此外 , 芳香酰氯也可在钯络合物催化下用聚甲基氢硅氧烷(PMHS)还原为芳醛 。 亦可用三丁基氢化锡来进行或在氢供体存在下用光照射来还原 。
一般需要使催化剂中毒以防止进一步的还原作用 , 最常用的中毒剂是硫-喹啉(由硫在喹啉中回流来制备)和硫脲 。 除了硫酸钡 , 其他活性调节剂 , 如26-二甲基吡啶(Pd/C)也可使用 。
推荐阅读
- 老虎作为“百兽之王”,凶猛威武,为何交配时间却不超过1分钟?
- 它们的智商已经高到人类无法理解,即使还没有爬到食物链顶端!
- 交配时,猫为什么叫声相当凄惨?人类与猫科动物又有哪些不同呢?
- 生殖隔离是什么?包括人类在内,自然界的生殖隔离到底有多可怕?
- 威猛的老虎是“百兽之王”,为什么交配时间,却不超过1分钟?
- 2009年韩国最特别的连环凶案,专挑丝袜女下手,女人还主动跟他走
- 2018年,父母之仇!男子手刃三仇人性命,最后结果如何?
- 假如世界上只剩3只老鼠,它们会不会成为一级保护动物?
- 动物界的奇葩交配行为,令人眼界大开,生物课上可学不到这些
- 白虎跳墙找东北虎谈恋爱,能繁殖后代吗?有没有生殖隔离?
