6H-SiC位移损伤的分子动力学模拟

文章图片

文章图片

文章图片

文章图片

文章图片

文章图片
西安电子科技大学
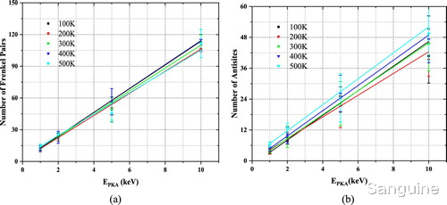
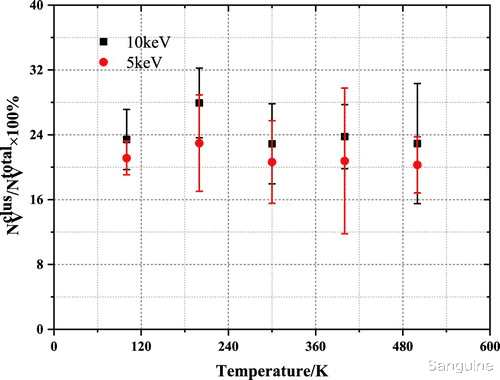
6H-SiC作为新一代低损耗元件 , 广泛应用于光电器件、电子器件等领域 , 尤其是在高温强辐射环境下 。 辐射会导致材料产生大量缺陷 , 形成永久性位移损伤 , 导致性能下降或失效 。 本文采用分子动力学方法研究了缺陷的空间分布以及温度和PKA能量对点缺陷各种性质的影响 。 主要贡献是6H-SiC晶体中缺陷的演变 , PKA能量和温度对缺陷分布和点缺陷数量的影响 。 本文获得了PKA入射后6H-SiC晶体中点缺陷的空间分布 , 计算了4种能量PKA下的复合率 , 以及温度和入射PKA能量对缺陷数量、复合率的影响研究了空位簇和稳态空位缺陷率 。 结果表明 , 稳态缺陷数随着入射PKA能量的增加呈线性增加 , 温度和能量对缺陷产生和团簇率的影响不显着 。
一、简介
随着科学的飞速发展 , 迫切需要在一些极端条件下(如高温和强辐射)使用的材料 。 由于其优异的物理特性 , 如高导电性、高熔点、高导热性、高击穿电压和高饱和电子转移率 , 由碳化硅(SiC)晶体制成的器件可用于广泛的应用如航天、石化、食品加工、汽车制造、核电站等 。 碳化硅(SiC)多型体由于构型不同而具有不同的物理性质和不同的应用 。 6H-SiC晶体是一种宽带隙材料 , 这意味着由6H-SiC制成的电子器件可以在高温和高放射性环境下可靠高效地工作 。 在离子辐照6H-SiC无序和非晶化的研究中 , Weber、Heera等人进行了很多实验 。 并通过卢瑟福背散射光谱/沟道和透射电子显微镜研究重离子注入6H-SiC的再结晶和非晶化 。 和重离子 。 至于仿真 , 很多研究人员都把目光放在了3C-SiC上 , 而6H-SiC总是被排除在外 。 到目前为止 , 邓发明基于密度泛函微扰理论 , 利用第一性原理和赝势法计算了6H-SiC晶体在强激光照射下的电子性质 , 并分析了6H-SiC晶体的能带结构和态密度 。 唐超利用经典分子动力学模拟和模拟退火技术研究了石墨烯结构在6H-SiC(000(1)over bar)表面的生长过程 。
为了了解质子辐照6H-SiC的非晶形成过程和原子级缺陷的状态 , 进行了分子动力学模拟以模拟点缺陷和Si PKA(Primary Knock-on Atoms) 。 近20年来 , MD被广泛用于原子尺度模拟 , MD的时间步长小于1 fs , 可以提供级联碰撞下系统的所有演化细节 。 利用MD , 得到了不同入射PKA能量和环境温度下的缺陷复合率、缺陷数量、点缺陷的空间分布和缺陷簇的比例 。
2仿真模型与方法
使用具有恒定体积和周期性边界条件的LAMMPS进行分子动力学模拟以模拟无限体的主体 。模拟分为两部分 , 一是级联碰撞发生的模拟域 , 二是恒温区 , 保证模拟域在一定温度下 。恒温器的厚度取决于系统尺寸 , 此外 , 为了避免在模拟开始时人为减少PKA及其邻居的能量 , 速度缩放恒温器应用于立方体的所有侧面 , 除了PKA存在的顶层(最顶层(001)原子平面) 。此外 , 选择Teroff/ZBL势函数来描述原子之间的相互作用 , 因为它与实验值准确吻合 。系统原理图如图1所示 。
为了确定系统的大小 , 通过SRIM计算了用不同高能质子照射的SiC晶体中的初级碰撞原子(PKA) 。 结果表明 , PKA的类型主要为Si离子和C离子 , 动能范围为0~10 keV 。 众所周知 , Si原子的半径比C原子的半径大 , 这意味着Si与模拟系统中的原子发生碰撞的概率更高 。 更重要的是 , Si原子的质量比C原子大 , 碰撞发生时会传递更多的能量 。 因此 , 对于相同的能量 , C原子会在系统中走得更远 , 传递到系统的能量就更少 , 也就意味着相应地产生的点缺陷也更少 。 因此 , 为了更快速有效地进行模拟 , 本次模拟选择了Si作为PKA 。 然后选择不同的PKA能量(1 2 5 10 keV)来模拟PKA能量对点缺陷产生的影响 。 最后 , 通过SRIM在SiC中获得不同能量下Si PKA的范围 , 如图2所示 。为了确保没有原子移出边界 , 以双离子范围附近作为不同PKA能量下的系统尺寸.
推荐阅读
- ?科学家研究发现,全球磁场强度损伤了9%,地球将来会变成火星?
- 从刑法及证据角度,女子被威胁发生关系致器官损伤,男子构罪吗?
- 你知道自然界中叫声最大的动物是什么吗?声音可以损伤人类听觉
- 墨尔本专家:家暴易造成颅脑损伤,研究人员正开发新检测方法
- 干细胞移植治疗脊髓损伤有效果,中科西部干细胞研究院
- 临床案例:神经干细胞移植对44例脊髓损伤的效果观察
- 睡个好觉真的很重要!只有睡觉,才能修复DNA损伤
- 苏国辉院士:干细胞治疗给脊髓损伤患者带来希望
- 脊椎损伤治疗新突破!新型药物可逆转小鼠瘫痪,有望进行人体试验
- Science子刊:年轻时吃糖太多会损伤大脑,并诱发精神疾病,而阿司匹林能预防这一损伤
