拉格朗 拉格朗日方程与哈密顿原理,终极的自然原则,宇宙的主要动力( 二 )
文章插图
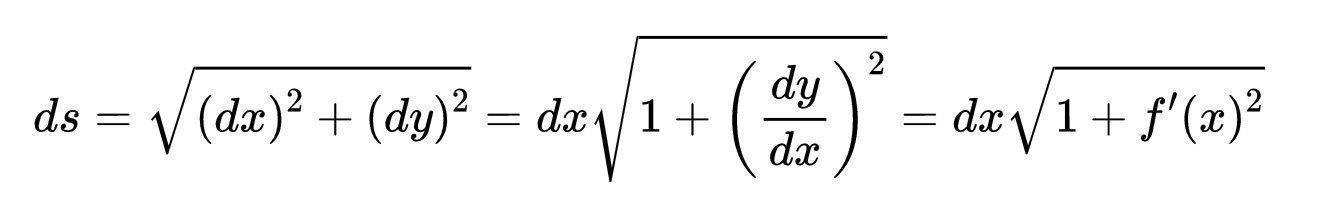
当x坐标为正时,路径的y坐标为负,所以我们可以这样写:
文章插图
- 我们不关心边界上发生了什么

文章插图
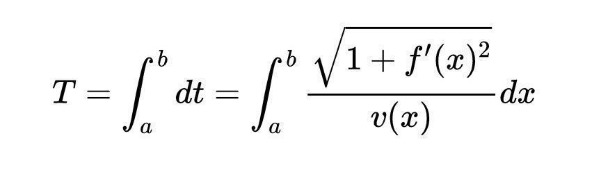
通过速度v=ds/dt的定义,我们可以将射线的总传播时间表示为积分:

文章插图
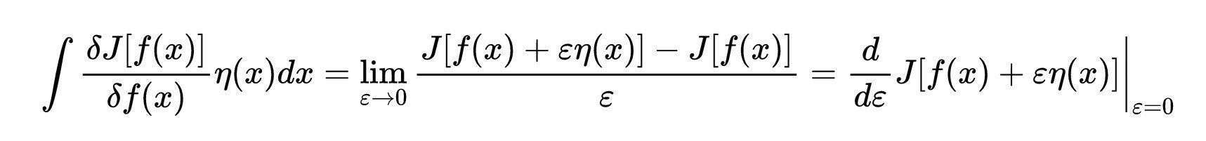
这个定积分取函数f(x),返回一个数字T,在某种意义上,它是一个取函数的函数而不是作为输入的变量。这样的对象被称为函数。我们可以将费马最短时间原理解释为路径(x,f(x))具有f(x),使得时间函数T[f(x)]具有最小值。
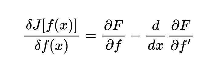
正如我们可以定义函数f(x)对变量x的导数为:

文章插图
我们可以定义泛函δJ[f(x)]/δf(x)的泛函导数,得到当f(x)被f(x)+η(x)代替时J的变化率,关系式为:

文章插图
函数η称为f(x)的变分,f(x)是一个在积分域边界上消失的任意函数。在本文中,我们将对以下形式的函数感兴趣:
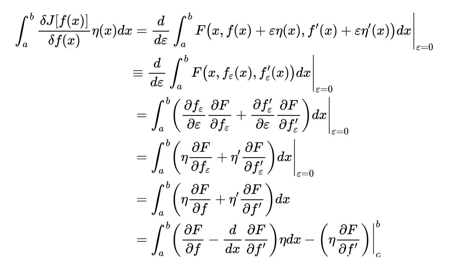
这里,F是由x, F (x)和F ' (x)组成的函数。我们用定义来求J的函数导数。

文章插图
第三行是链式法则。第5行是因为f =f (ε=0),第6行是对第5部分被积函数的第二项进行分部积分的结果。由于η在a和b处消失,这意味着通过消去积分,我们得到:

文章插图
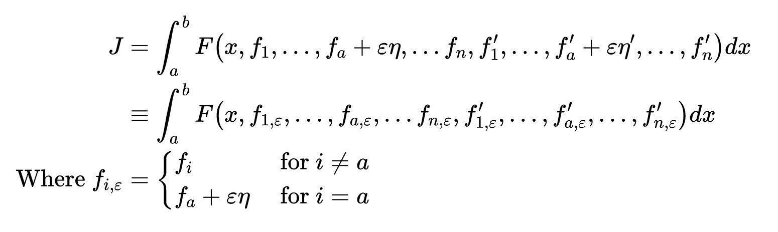
如果J是f(x)以外的多个函数的函数,只要只有f(x)是变化的,这也适用。为什么?让f(x) = (f?(x), f?(x), …, f?(x)) ,只f?有所不同。那么J的形式如下:

文章插图
所以只有f?在第(3)行的链式法则中存在。
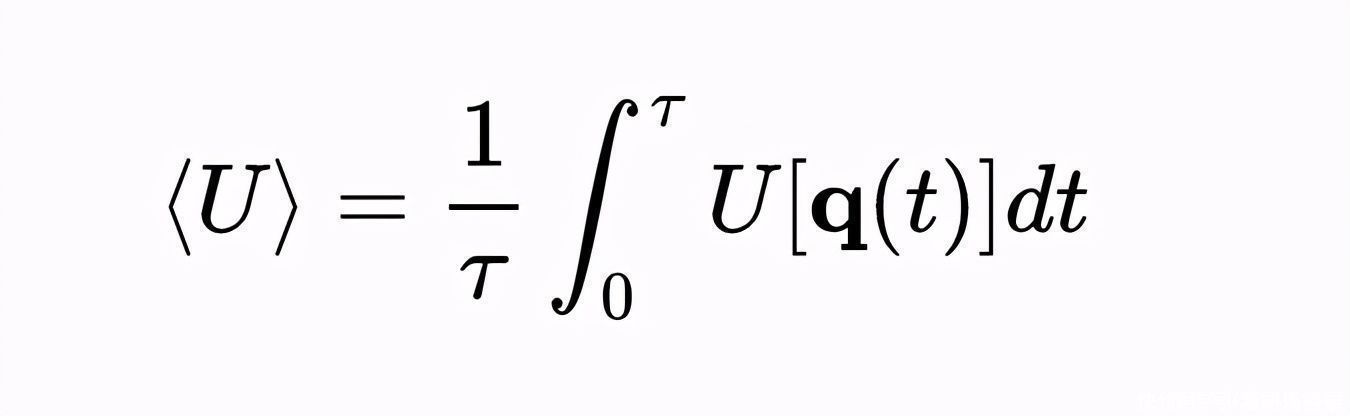
轨道的泛函令q(t)=(q?,q?,…,q?)为构型空间轨迹的位置向量。为了从函数的角度分析轨迹,我们需要提出一些依赖于整个系统状态的泛函。
势能函数,依赖于整个状态,如果我们假设系统是保守的,那么U就不依赖于广义速度。我们可以用一个简单的函数来表示轨迹上U的平均值:

文章插图
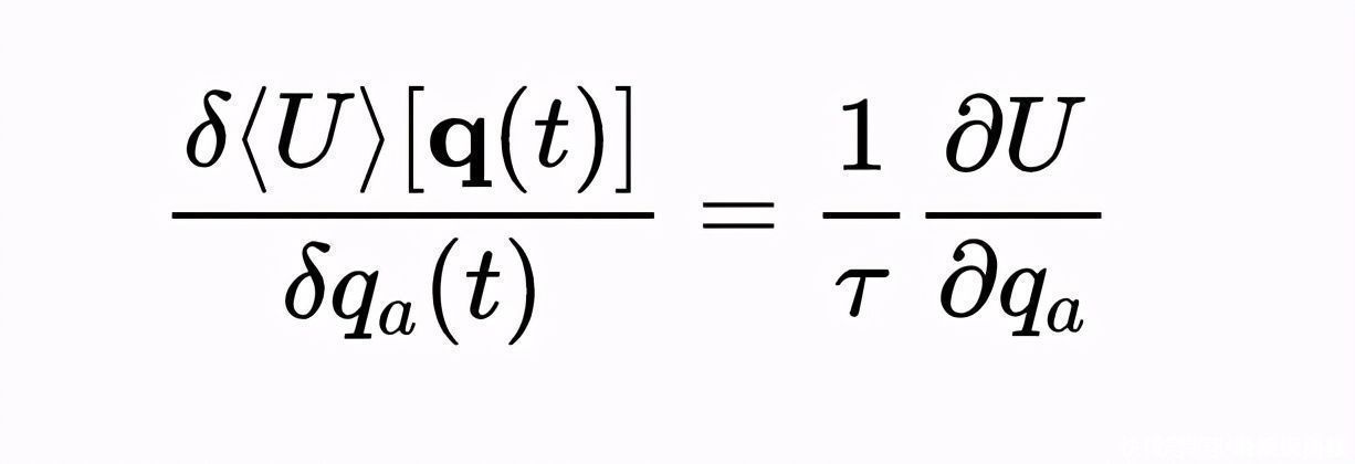
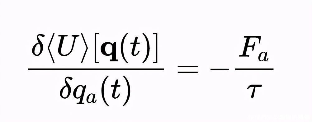
泛函?U?具有适用于上一节结果的正确形式,因此:

文章插图
由于U不依赖于速度,最右边的偏导数消失了(我们稍后会用到这个形式),我们可以写成:

文章插图
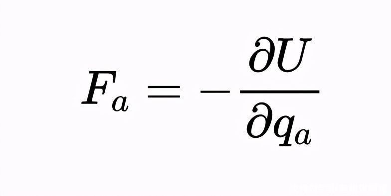
由于我们处理的是保守系统,我们可以自由地定义广义力:

文章插图
因此

文章插图
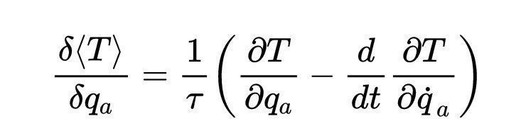
泛函?T?也具有上一节公式的正确形式来应用:

文章插图
现在我们有了一个函数导数的一种可行形式,我们可以进入实际的物理。
拉格朗日方程保守系统可以说是通过动能和势能的交换而随着时间而演化的。这是因为一个保守力作用于系统,将其势能转化为动能,反之亦然。
假设沿着轨迹,平均势能为?U?,轨迹变化一次后,平均势能变为?U?+?U。因此,轨迹的变化产生了一些额外的能量来贡献系统的平均动能。我们可以猜测平均动能的变化量等于平均势能的变化量。现在我们将证明,当任何坐标q?变为q?+δq?时,情况就是这样:

文章插图
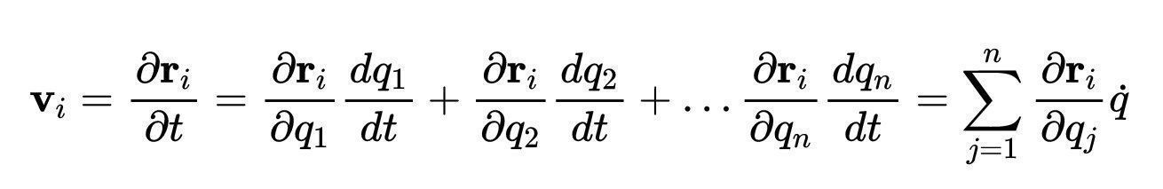
如果系统由N个粒子组成,则第i个粒子的动能为:
对点积的导数应用乘积法则,我们得到:

文章插图
根据链式法则:

文章插图
所以:
推荐阅读
- 结婚纪念日当天怎么过 结婚纪念日怎么算
- 为什么日漫的结局大多让人累觉不爱
- 柠檬日是什么意思
- 如何评价正在播放的由庵野秀明主导的日本动画人博览会
- 苹果Safari涉嫌侵犯专利遭起诉
- 糖尿病日是哪天
- 诺贝尔瓷砖价格表图片 诺贝尔瓷砖怎么样
- 夏侯渊之死 夏侯??怎么死的
- 惠达卫浴54—A51E 惠达卫浴怎么样
- 艾瑞泽7混动版怎么样 艾瑞泽7怎么样
