这是一个很准确的近似 。 然而 , 要精确地理解质数定理告诉我们的东西 , 我们需要说出我们所说的“一个准确的近似”是什么意思 。 质数定理并不是说 , 对于一个给定的整数n , 真值和我们的近似值之间的差值接近 0。 相反 , 它告诉我们关于“近似值占真值的百分比是多少?”的问题 。 回到我们 n=1000 的例子 , 真值是 168 , 近似值是 145。 因此 , 近似构成的比例:
近似值占真实值的 86%, 不错 。 当 n=100000 时 , 包含 100000 的质数是 9592, 这是真值 , 估值是 8686。
在这种情况下 , 估值占真值的 90%。
这相比于 n=1000 的情况 , 比例从 86% 提升到了 90%。 一般来说 , 质数定理告诉我们 , 对于 n 很大的情况 ,n/ln(n) 得到的近似值几乎是真值的 100%。 事实上 , 你可以让它接近 100% ——只要你选择足够大的 n。
【哥德巴赫猜想|同样是关于质数,为啥哥德巴赫猜想比我有名?】
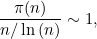
红色曲线显示的是小于或等于n的质数数目 , 其中横轴表示 n。 蓝色曲线给出 n/ln(n) 的值 。 真实结果和近似结果之间的差值随着 n 的增长而增加 , 但两者之间的比值趋于 1。 为了用数学符号来描述素数定理在数学上的辉煌 , 让我们先用表示小于或等于的质数的数目 。 这个定理可以用公式表述:
(1)如果你懂一点微积分你就会知道你可以交换分子和分母 , 此时表达式 (1) 等于:
(2)素数定理通常用第二个表达式 (2) 来表述 , 有时也写成:
表示:“当 n 趋近于无穷大时 ,n/log(n) 趋近于 π(n) ” 。 作者:Marianne翻译:C&C审校:zhenni原文链接:https://plus.maths.org/content/maths-minute-prime-number-theoremhttps://plus.maths.org/content/maths-minute-how-many-primes
编辑:zhenni
想了解更多精彩内容 , 快来关注中科院物理所
推荐阅读
- 核心|中科大陈秀雄团队成功证明凯勒几何两大核心猜想,研究登上《美国数学会杂志》
- 社会|机器的猜想与边界
- 形式|法国学者29页预印本论文「证明」黎曼猜想,这次的方向对了吗?
- IT|有史以来最强大的奥迪A8下线 剑指迈巴赫S级
- 核心|中国团队成功证明数学界两大核心猜想
- 会|悬而未决60年 我科学家证明凯勒几何两大核心猜想
- 稳定性|重磅!中科大团队成功证明了两个数学界核心猜想……
- 稳定性|中国团队成功证明两个国际数学界60多年悬而未决的猜想
- 测地|中国科大陈秀雄团队成功证明凯勒几何两大核心猜想
- 新浪科技综合|中国科大陈秀雄团队成功证明凯勒几何两大核心猜想
